本网讯 铅污染是全球环境问题的严重挑战,长期暴露于铅污染水源中可能对人类健康产生不可逆的危害。Pb(II)离子作为一种高毒性重金属离子,通过采矿、印刷、电池、燃料和颜料等各种工业活动进入环境和水中,对肾脏和神经系统有危险影响。因此,开发高效的铅污染治理方法对于保护环境和人类健康至关重要。

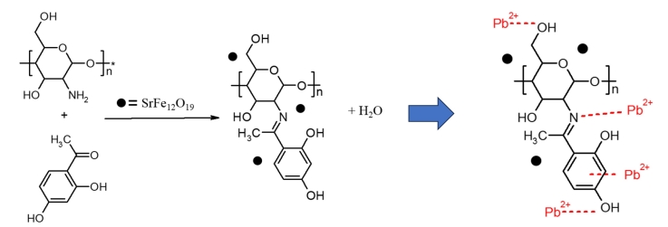
针对上述问题,我校环境与能源工程学院市政工程系韦伟博士联合广东工业大学冯力博士成功合成了一种新型纳米复合材料——壳聚糖2,4-二羟基乙酰苯胺席夫碱@SrFe12O19纳米复合材料,这种新材料能够高效、快速地从水中吸附铅离子,使水体中的铅浓度显著降低。这项研究为解决铅污染问题提供了新的方法,为环境保护和全球健康做出了重要贡献。
目前相关成果以“Application of new chitosan 2,4-dihydroxyacetophenone Schiff base @SrFe12O19nanocomposite for remove of Pb(II) ion from aqueous solution”为题发表在中科院一区Top 期刊 International Journal of Biological Macromolecules(IF=8.2)上。(作者:韦伟 吴厚凡;审核:谢发之)


